EMC型船用立式離心泵船用泵結構型式和材料
時間:2012/8/26 來源:浙江揚子江泵業有限公司
船用泵是各種船只上需要以一定壓力輸送液體的主要機泵設備,由于船只的漂浮于水面上的特殊性,船用泵對質量的要求要比一般通用機泵高。船用水泵,船用離心泵,船用噴射泵,船用真空泵,船用油泵,船用立式離心泵,船用臥式離心泵等船用泵產品還可選用各種大型海上作業平臺,當然更能廣泛的應用于污水采樣、大流量液體轉移、低噪音連續工作場合;大型、特大型水族館、小型游泳池、魚塘補水、蓄水池補水、噴泉、魚塘投餌料等以場所及其他多種用途.
EMC型船用立式離心泵是在消化吸收國外先進技術的基礎上自行開發的在水利設計和結構設計上有特殊創新并且完全按照船用條件設計制造的新一代船用離心泵產品。
該泵在船舶上可作壓載、消防,艙底、冷卻等用途,適用介質為海水和淡水。
該泵可根據需要配帶噴射式真空泵(外界壓縮空氣驅動)自吸裝置,從而實現自吸功能。
該泵具有以下鮮明特點:
1.轉子部件通過剛性聯軸器與電機軸聯接,并且在轉子下部安裝導軸承,有效增加了轉子的剛性。
2,。泵體采用整體鑄造結構。
3.泵體壓出采用雙蝸殼結構,使轉子徑向力自動得到平衡,從而使得泵在完全偏離設計工況下運行也不會產生機械故障。
4.葉輪上采用雙密封環以及平衡孔結構,使轉子軸向力得到平衡,并且有效地防止了氣塞
5.水利上采取了無過載設計(即功率曲線有極值),使得泵在任何工況下運行都不會產生超載問題。
6.先進的水利設計,使得葉輪具有優良的汽蝕性能;泵體吸入室采用對稱螺旋結構,使液體流入葉輪時更趨于均勻,進一步改善了泵的汽蝕性能,從而使得泵在偏離設計工況以及進口條件比較惡劣的情況下運行都能有效地避免汽蝕。 
結構型式和材料
該泵為臥式單級單吸結構,主要有泵體,泵蓋,葉輪,泵軸,電機聯接架,剛性聯軸器,軸封,導軸承,泵座等組成。
泵軸和電機軸通過剛性聯軸器聯接,葉輪通過鎖緊螺母與鍵固定在軸上。葉輪上部裝有具有良好自潤滑性以及防燒損復合材料制作的導軸承。
泵蓋高點設有排氣閥,避免了泵內形成氣囊從而影響泵的運行。
泵軸封可根據需要采用填料或機械密封兩種形式,并且都有獨立的沖洗系統,當水質情況較為惡劣時,可根據需要加裝濾器或旋流器。
壓縮空氣驅動的噴射式真空泵自吸裝置可直接附帶在泵上。 

EMC船用水泵 結構圖

性能

EMC船用水泵 性能







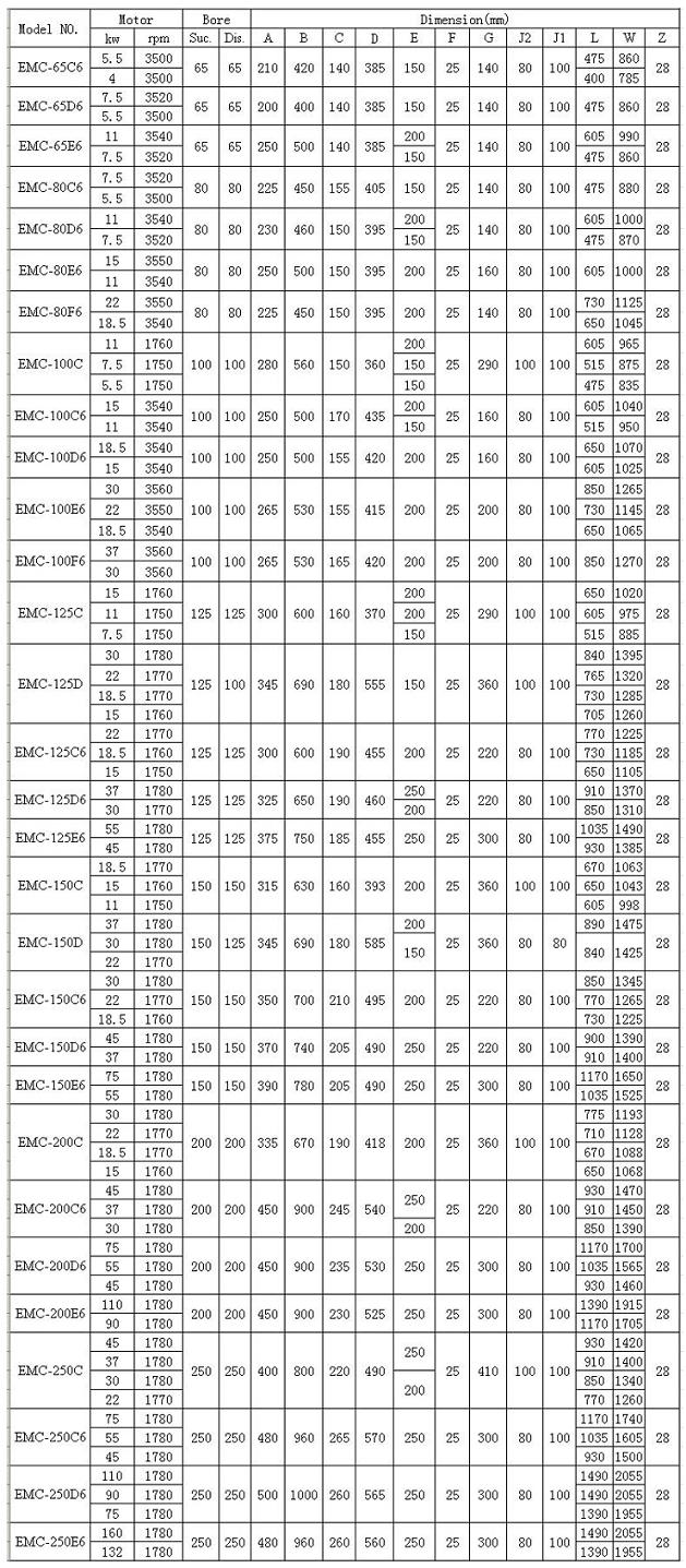
機組尺寸

EMC船用水泵 機組尺寸













