泵的知識 PUMP KNOWLEDGE
行業新聞
您當前位置:網站首頁 >> 泵的知識 >> 詳情內容
離心泵安裝最大高度的計算
時間:2012/3/18 來源:浙江揚子江泵業有限公司
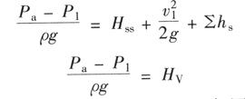
泵房內的地坪標高取決于泵的安裝高度,正確地計算泵的大允許安裝高度,使泵站既能安全供水,又能節省土建造價,具有很重要的意義。由式

Hv——泵殼吸人口的測壓孔處的真空值(mH20),如圖2-69所示。
泵銘牌或樣本中,對于各種泵都給定了一個允許吸上真空高度日。,此日。即為式(2—148)中Hr的大極限值。在實用中,泵的Hs超過樣本規定的Hv值時,就意味著泵將會遭受氣蝕.
水泵廠一般在樣本中,用p-H。曲線來表示該泵的吸水性能。圖2-70所示,為14SA型離心泵的p-H。曲線,此曲線是在大氣壓為10.33mH20,水溫為20℃時,由專門的氣蝕試驗求得的。它是該泵吸水性能的一條限度曲線。在使用時,要注意以值是個條件值,它與當地大氣壓(Pa)及抽升水的溫度(t)有關,由式(2-147)可看出。因此,在工程上應用泵樣本中的日。值時,必須考慮到:當地大氣壓越低,泵的以值就將越小(大氣壓與當地海拔的關系,見表2-7)。其次,如抽升的水溫(t)越高,泵吸入口處所要求的絕對壓力P,也就應越大(水溫與防止氣穴現象的飽和蒸汽壓力值關系,見表2-7)。水溫越高,泵的Hs值也將越小。
海拔高度與大氣壓的關系 表2-8
|
海拔(m) |
-600 |
0 |
100 |
200 |
300 |
400 |
500 |
600 |
700 |
800 |
900 |
1000 |
1500 |
2000 |
3000 |
4000 |
5000 |
|
大氣壓
Pa/r(mH20) |
11.3 |
10.33 |
10.2 |
10.1 |
10.0 |
9.8 |
9.7 |
9.6 |
9.5 |
9.4 |
9.3 |
9.2 |
8.6 |
8.4 |
7.3 |
6.3 |
5.5 |
如果,泵安裝實際地點的氣壓是ha,不是10.33mH20時(例如在高原區修建泵站)或水溫是t而不是20℃時(例如用來抽升熱水時其飽和蒸汽壓力是hva而不是20℃的0.24時),則對水泵廠所給定的日。值,應作如下的修正:
H”S=Hs-(10.33-ha)-(hva-0.24)
- 下一篇:水環真空泵的命名規則
- 上一篇:無密封離心泵選用時應注意的問題











