真空泵引水、真空虹吸
時間:2012/2/10 來源:浙江揚子江泵業有限公司
1、真空的概念
“真空”一詞來自拉丁語“vacuum”,原意為“虛無”、“空的”。 真空是指在給定空間內低于環境大氣壓力的氣體狀態,即該空間內的氣體分子密度低于該地區大氣壓力的氣體分子密度,并不是沒有物質的空間。水環真空泵應用于低真空(105—103 Pa)領域
2、真空的測量單位
在真空技術中,表示處于真空狀態下氣體稀薄程度的量稱為真空度,可用壓力、分子數密度、平均自由程和形成一個單分子層的時間常數等來表征,但通常用氣體的壓力(剩余壓力)值來表示。氣體壓力越低,表示真空度越高;反之,壓力越高,真空度越低。
法定的壓力計量單位為帕[帕斯卡],符號為Pa
1Pa=1N.m-2 此外,還可用真空度的百分數作測量單位。

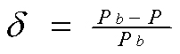
δ——真空度百分數(%) P——絕對壓力(Pa) Pb-P 表示真空壓力表讀數,表壓力(用Pe表示) 真空度百分數δ(%)與壓力P對照表
3、單位換算
1atm(標準大氣壓)=1013.25hPa(百帕)
1mmHg(毫米汞柱)=1Torr(托)=1.333 hPa(百帕)
1bar(巴)=1000 hPa(百帕)
1mbar(毫巴)=1 hPa(百帕)
1inHg(英寸汞柱)=25.4mmHg(毫米汞柱)=33.8 hPa(百帕)
4、相關術語
◇氣量——水環真空泵的氣量是指入口在給定真空度下,出口為大氣壓1013.25hPa時,單位時間通過泵人口的吸入狀態下的氣體容積,m3/min或m3/h 。
◇大氣量——水環真空泵的大氣量是指氣量曲線上的氣量大值,m3/min或m3/h。
◇真空度(或稱作壓力)——水環真空泵的真空泵是指入口處在真空狀態下氣體的稀薄程度,以絕對壓力表示,Pa、hPa、kPa。
◇極限真空度(或稱作極限壓力)——水環真空泵的極限真空度是指入口處氣量為零時的真空度,Pa、hPa、kPa。
◇壓縮比——吸入壓力下氣體容積與壓縮后氣體容積之比
◇飽和蒸汽壓——在給定溫度下,某種物質的蒸汽與其凝聚相處于相平衡狀態下的該種物質的蒸汽壓力。
二、選型指導
真空泵的工作壓力應該滿足真空設備的極限真空及工作壓力要求。通常選擇泵的真空度要高于真空設備真空度半個到一個數量級。2BVX、2BEX系列真空泵吸氣壓力范圍在33hPa——1013.25 hPa之間,在此范圍內,氣量隨吸氣壓力的不同而變化。根據氣量和真空度選擇合適的泵。保證工藝要求的真空度或抽走需要排走的氣體。泵的工作點盡可能要求在高效區內,也就是在臨界真空度或臨界排氣壓力的區域內運行。應避免在大真空度或大排氣壓力附近運行。在此區域內運行,不僅效率極低,而且工作很不穩定,易產生振動和噪音。對于真空度較高的真空泵而言,在此區域之內運行,往往還會發生汽蝕現象,產生這種現象的明顯標志是泵內有噪音和振動。汽蝕會導致泵體、葉輪等零件的損壞,以致泵無法工作。
1、真空引水
全自動真空引水裝置2BYS系列適合大中小型水廠真空引水,待水泵殼充滿水后自動啟動水泵。
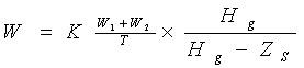
真空引水適用于各種水泵,特別適用于大、中型泵和吸水管較長的泵。抽氣管接在泵殼的頂點。一般根據抽氣量和大真空值選擇真空泵,并配一臺備用泵. 2BVX、2BEX系列真空泵均能滿足水泵引水大真空值的要求,因此只要計算抽氣量即可。給排水專業推薦的抽氣量計算方法如下:

W-抽氣量 m3/min
K-漏氣系數 1.05~1.1
W1-吸氣管中的空氣容積 m3
W2-泵體容積。計算時取水泵吸入口面積乘以吸入口到出水閥的距離
T-引水時間,不大于5min
Hg-大氣壓的水柱高度 10.33m
Zs-水泵軸到吸水井低水位的差m
2、一般工況條件下泵的選型
當用戶對使用的環境要求不高且具有足夠的循環水源時,我們給用戶提供的配套形式大多為小成套(既2BEX樣本中的配套形式)。按其傳動方式分為直聯傳動、減速機傳動及皮帶傳動三種。選型原則是按標準狀況下(水溫15℃、氣溫20℃、排氣壓力為1013mbar),水環真空泵試驗所測得的性能曲線進行選型,非標準狀況時,必須對進氣速率或氣量進行修正。
在標準狀況下,以吸入壓力P1和要求的抽氣量Qc,在樣本性能曲線上尋求對應的水環真空泵轉速(n)和軸功率(P),當所選泵轉速n正好是常規電機的標準轉速時,選用的傳動方式為直聯傳動或皮帶傳動(用戶特殊要求)。當所選泵原轉速n不是常規電機的標準轉速,而且原轉速n與減速機標準傳動比i的乘積與常規電機的標準轉速一致時,我們選用減速機傳動。否則就選用皮帶輪傳動。
選型計算以某化工廠工藝流程設計參數為例加以說明:
設計參數:
入口氣體溫度 35℃
入口氣體絕對壓力 200hPa
氣量 3000m3/h
工作液溫度 19℃
由于樣本曲線是在進氣溫度20℃,進水溫度15℃,排氣壓力1013hPa,吸入氣體為飽和空氣時測得,故需將上述參數進行修正。
樣本中規定條件下的抽氣量

其中,
為轉速修正系數,
;
為樣本中規定轉速;
是實際轉速;
是工作液溫度修正系數

是吸入壓力;
,
分別為樣本上的和實際的工作水溫度下的飽和蒸汽壓;
,
分別為樣本上的和實際的工作水溫度(熱力學溫度)。
公式僅限于水溫在15℃±5℃范圍內,否則要用密封水溫修正圖修正。
為進氣溫度修正系數,
,
分別為樣本上的和試驗(實際)的進氣溫度,由此可知:


考慮到留10%的余量,氣量為
。
由
,
,查樣本曲線,可用2BEX 303-0的水環真空泵,轉速為590rpm,軸功率為64kW。
配套功率的安全系數K=1.1—1.2(若用于紙廠K=1.3)
減速機的選用按減速機機械功率表選取,計算功率應考慮工礦系數和安全系數。后校核熱功率。
皮帶傳動按手冊選用。
3 火力發電廠用水環真空泵機組的選型
3.1 術語
◇額定功率(銘牌功率,該工況稱為TRL工況)
在規定的背壓條件下,3%補水率,機組發額定功率,其進汽量稱為額定進汽量(也稱為額定流量、TMCR流量)。
◇大連續功率(TMCR工況)
在額定進汽量條件下,其背壓為考慮年加權平均氣溫等因素并通過對空冷系統優化所確定的背壓(設計背壓),補水率為0%的情況下,發電機端輸出的功率。該功率也可作為保證熱耗和汽耗率的功率。
◇保證熱耗率考核工況(THA工況)
在設計背壓條件下,0%補水率,出力為額定功率時的熱耗率和汽耗率作為保證,
◇閥門全開功率(VWO工況)
汽輪機在調節閥全開時的進汽量以及TMCR定義條件下發電機端輸出的功率。一般在VWO下的進汽量為額定進汽量的1.03-1.05倍。此流量應為保證值。
◇阻塞背壓(Choking Bask Pressure)
汽機的阻塞背壓是指汽機末級葉片出口處的蒸汽流速接近該處的音速水平(馬赫數約為0.95)時的背壓,在通常情況下,他與汽輪機進汽量相關,不同的進汽量有不同的阻塞背壓值。為了規范汽輪機的技術條件,這里特指TMCR流量條件下的阻塞背壓值。
◇過冷度:汽機排汽飽和汽溫與凝結水箱入口凝結水溫之差。
3.2火電站凝汽器用水環真空泵的性能曲線主要分為兩種,一種用于啟動運行階段的性能曲線,既是2BEX樣本中曲線。另一種是正常運行的曲線,此曲線見2BWD樣本。
3.2.1啟動運行階段泵的選型
啟動運行階段的目的是在汽輪機啟動前抽吸凝汽器內的空氣,達到20 kPa——40 kPa的壓力,以便啟動汽輪機。
滿足電站的預定抽真空時間,是本階段選擇真空泵的主要依據。抽空時間一般在30分鐘之內。
抽氣時間可按下式計算 
t——抽氣時間 min
V——真空系統的容積 m3
Q——真空泵的抽氣速率 m3/min
P1——真空系統初始壓力
P2——真空系統抽氣終了的壓力
3.2.2 正常運行階段,即汽輪機正式運行后,水環真空泵所抽吸的氣體包括空氣和水蒸氣,并不是清一色的空氣。混合氣中各成分的比例,又與空氣泄漏量及其它因素有關。
正常運行階段的水環真空泵選型依據:
mG :凝汽器泄漏空氣的質量流量
P1 :2BWD系列成套裝置進氣壓力
t1:2BWD系列成套裝置進氣溫度
tw1 :系統冷卻水溫度
mG 一般由設計院提供,P1和t1通過tw1和負荷率查凝汽器性能曲線得到。
正常運行階段的水環真空泵選型以滿足能夠抽除凝汽器泄漏空氣為準。此階段選型涉及熱工學相關知識,限于篇幅,本文暫不祥述。
所選真空泵須同時滿足兩種運行工況的要求。
火電廠水冷機組2BWD真空裝置常規配置情況表

水環真空泵的應用很廣,在選型上又有別于水泵,因此推廣水環真空泵泵時會叫人感到無從下手,本文就是給大家提供一個方法,撩去水環真空泵的神秘面紗,給大家一點信心,在面對水環真空泵時,感到它就是一個老朋友,樂于接受它,喜歡它,推廣它。希望本文對大家能有一些幫助。











