無堵塞污水自吸泵結構簡圖
時間:2012/11/22 來源:浙江揚子江泵業有限公司
污水自吸泵,ZW污水泵,無堵塞自吸泵
一、ZW型無堵塞污水自吸泵概述
ZW污水泵是在反復研究國內外同類技術的基礎上開發成功的一種結構新穎的產品。該無堵塞自吸泵集自吸和無堵塞排污于一體,采用軸向回流外混式,并通過泵體、葉輪流道的獨特設計,即可象一般自吸清水泵那樣不需要安裝底閥和灌引水,又可吸排含有大顆粒固本和長纖維雜質液體,可廣泛適用于市政排污工程、河塘養殖、輕工、造紙、紡織、食品、化工、電業、纖維、漿料和混合懸浮等化工介質理想的雜質泵。
污水自吸泵與國內同類產品相比,具有結構簡單、自吸性能好、排污能力強、高效節能,使用維修方便等待點,在自吸泵系列產品中屬國內首創。各項技術性能指標居國內領先,達到國際先進水平,具有廣闊的應用市場和發展前
景。
二、ZW型無堵塞污水自吸泵結構簡圖
三、ZW型無堵塞污水自吸泵型號意義


|
型號 |
流 量 | 揚 程 | 功 率 | 轉 速 | 效 率 | 汽蝕余量 | 自吸高度 | 自吸時間 |
重 量 |
|
(m3/h) |
(m) |
(kw) |
(r/min) |
(%) |
(m) |
(m) |
(min/5m) |
(kg) | |
|
zw25-8-15 |
8 |
15 |
2.2 |
2900 |
45 |
2.0 |
5.5 |
3 |
100 |
|
zw32-5-20 |
5 |
20 |
2.2 |
2900 |
45 |
2.5 |
5.5 |
3 |
100 |
|
zw32-10-20 |
10 |
20 |
2.2 |
2900 |
45 |
2.5 |
5.5 |
3 |
100 |
|
zw32-9-30 |
9 |
30 |
3 |
2900 |
48 |
2.5 |
5.5 |
3 |
120 |
|
zw40-10-20 |
10 |
20 |
2.2 |
2900 |
45 |
2.5 |
5.5 |
3 |
100 |
|
zw40-20-15 |
20 |
15 |
2.2 |
2900 |
45 |
2.5 |
5.5 |
3 |
100 |
|
zw40-15-30 |
15 |
30 |
3 |
2900 |
48 |
2.5 |
5.5 |
3 |
120 |
|
zw50-10-20 |
10 |
20 |
2.2 |
2900 |
45 |
2.5 |
5.5 |
3 |
100 |
|
zw50-20-12 |
20 |
12 |
2.2 |
2900 |
45 |
2.5 |
5.5 |
3 |
100 |
|
zw50-15-30 |
15 |
30 |
3 |
2900 |
48 |
2.5 |
5.5 |
3 |
120 |
|
zw50-20-35 |
20 |
35 |
5.5 |
2900 |
48 |
2.5 |
5.5 |
3 |
150 |
|
zw65-30-18 |
30 |
18 |
4 |
1450 |
45 |
2.5 |
5.5 |
3 |
200 |
|
zw65-25-30 |
25 |
30 |
5.5 |
2900 |
50 |
3 |
5.5 |
3 |
200 |
|
zw65-25-40 |
25 |
40 |
7.5 |
2900 |
50 |
3 |
5.5 |
2 |
220 |
|
zw65-40-25 |
40 |
25 |
7.5 |
1450 |
50 |
3 |
5.5 |
2 |
240 |
|
zw65-65-25 |
65 |
25 |
11 |
2900 |
52 |
3 |
5.5 |
2 |
240 |
|
zw80-40-16 |
40 |
16 |
4 |
1450 |
50 |
3 |
5 |
3 |
200 |
|
zw80-40-25 |
40 |
25 |
7.5 |
1450 |
50 |
3 |
5.5 |
2 |
240 |
|
zw80-25-40 |
25 |
40 |
7.5 |
2900 |
50 |
3 |
5.5 |
2 |
220 |
|
zw80-65-25 |
65 |
25 |
11 |
2900 |
52 |
3 |
5.5 |
2 |
240 |
|
zw80-80-35 |
80 |
35 |
15 |
2900 |
45 |
3 |
5.5 |
3 |
285 |
|
zw80-80-35 |
80 |
35 |
15 |
1450 |
50 |
3 |
5.5 |
2 |
450 |
|
zw80-50-60 |
50 |
60 |
22 |
2900 |
55 |
3 |
5 |
3 |
340 |
|
zw100-100-15 |
100 |
15 |
7.5 |
1450 |
50 |
4 |
5.5 |
3 |
300 |
|
zw100-80-20 |
80 |
20 |
7.5 |
1450 |
53 |
4 |
5.5 |
3 |
300 |
|
zw100-100-20 |
100 |
20 |
11 |
1450 |
53 |
4 |
5.5 |
3 |
340 |
|
zw100-100-30 |
100 |
30 |
22 |
1450 |
53 |
4 |
5.5 |
2 |
510 |
|
zw125-120-20 |
120 |
20 |
15 |
1450 |
55 |
4.5 |
5.5 |
2 |
500 |
|
zw150-180-14 |
180 |
14 |
15 |
1450 |
60 |
5 |
5.5 |
3.5 |
500 |
|
zw150-180-20 |
180 |
20 |
22 |
1450 |
60 |
5 |
5 |
3 |
570 |
|
zw150-180-30 |
180 |
30 |
37 |
1450 |
65 |
5 |
5 |
3 |
680 |
|
zw150-180-38 |
180 |
38 |
55 |
1450 |
45 |
5 |
6 |
3.5 |
800 |
|
zw200-280-14 |
280 |
14 |
22 |
1450 |
65 |
5 |
5 |
3 |
700 |
|
zw200-280-28 |
280 |
28 |
55 |
1450 |
55 |
4.8 |
5.2 |
3 |
940 |
|
zw250-420-20 |
420 |
20 |
55 |
1450 |
61 |
6 |
4.5 |
2.5 |
1150 |
|
zw300-800-14 |
800 |
14 |
55 |
1450 |
65 |
6 |
4.5 |
2.5 |
140 |
污水自吸泵起動前的準備與運行
檢查泵底座、聯軸器、軸承等連接部位的緊固件有否松動?如有松動應固緊。
用手轉動聯軸器是否有卡帶或異聲等現象?
打開泵上方的加水閥門,加入儲液水不少于泵體容積的三分之二,關閉閥門。以后開機不需再灌引水。
接上電源試轉一下,從電機端看,為順時針轉向。(嚴禁反轉)
開機工作,觀察否運行是否正常?若有異常現象,應找出原因,加以排除。
五、ZW污水自吸泵故障原因及解決方法
|
故障現象 |
原因分析 |
排除方法 |
|
ZW污水自吸泵不出水 |
泵體內未加儲液或儲液不足 |
加足 |
|
吸入管路漏氣 |
消除管路漏氣現象 | |
|
電壓過低 |
調整電壓 | |
|
吸程過高或吸入管路太長 |
降低吸程或縮短管路 | |
|
機械密封泄漏過大 |
修理或更換 | |
|
ZW污水自吸泵出水不足 |
因使用不當,葉輪流道或吸入管路被堵塞 |
消除堵塞物 |
|
葉輪磨損嚴重 |
更換葉輪 | |
|
功率不足轉速太低 |
調整至額定轉速 | |
|
ZW污水自吸泵噪音、振動過大 |
底腳不穩 |
加固 |
|
軸承磨損嚴重 |
更換軸承 | |
|
泵與電機主軸不同軸 |
調整同軸度 | |
|
ZW污水自吸泵軸承溫度過高 |
潤滑脂變質或干燥 |
更換潤滑脂 |
|
軸承損壞 |
更換 | |
|
ZW污水自吸泵泄漏 |
聯接螺栓松動 |
固緊 |
|
密封件磨損 |
更換 |
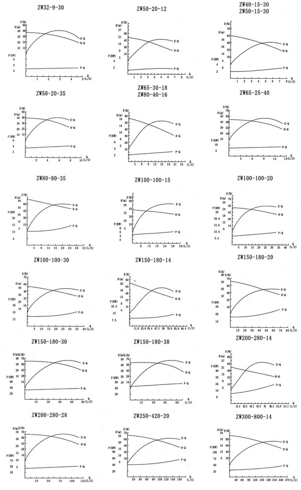
六、ZW型無堵塞污水自吸泵性能曲線圖

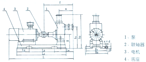
七、ZW型無堵塞污水自吸泵機組的結構

污水自吸泵機組的結構、外形安裝尺寸圖(上)
1、安裝前檢查基礎是否水平 2、檢查各部件在運輸中有否被損壞3、泵本身不允許作為管路支承 4、泵與管路應保持良好的密封。
八、ZW型無堵塞污水自吸泵使用范圍
環境溫度≤50℃,介質溫度≤80℃特殊要求可達20℃。
介質PH值鑄鐵泵為6-9,不銹鋼為2-13。
介質重度不超過1240千克/m3。
自吸高度不能超過規定值4.5-4.5米,吸入管長度為≤10米。
通過能力懸浮顆粒直徑為泵口徑的60%,纖維長度為泵口徑的5倍
感謝您訪問我們揚子江泵業的網站m.xinbochuangdz.com,如有任何水泵疑問我們一定會盡心盡力為您提供優質的服務
- 下一篇:箱式無負壓供水設備原理工作流程圖
- 上一篇:談談衛生級離心泵維護及保養











